15+ Calculating Qp Qs

Anatom-ical complexity for the accurate calculation of the right. The Echo Lady 151K subscribers Subscribe 277 10K views 1 year ago Hello guys in this video I am going to talk about the pulmonary-systemic.


Qp Qs Calculation Cath 2022 2023 Student Forum

By applying the Fick principle for the systemic and pulmonary flow we can calculate the Qs and Qp as follows.

. The magnitude of an inra- or extracardiac shunt can be estimated by flow ratio between the pulmonary and systemic circulation QpQs using hemodynamic data. Bottom of page. Formula B is Flamm equation for mixed venous saturation.

Q Blood Flow P Pulmonary S Systemic So when we use the term QpQs what were saying it is the ratio of pulmonary blood flow to systemic blood flow. Formula 1 and 2 can be derived from the oxygen consumption formula A. PDA Calculating QP-QS - YouTube 000 554 PDA Calculating QP-QS 2884 views Oct 30 2020 76 Dislike Share Save Echo Education Channel 77 subscribers Point of Care Echo.

Chapters QpQs Ratio Echocardiography. Qs LVOT VTI x π x LVOT2 2 QpQs ratio Qp Qs Where. RVOT Right ventricular outflow tract diameter RVOT VTI RVOT subvalvular velocity time integral LVOT Left ventricular.

There are several setbacks inherent to this modality and these are non-specific for the calculation of QpQs. Qpqs Ratio CalculatorPulmonary systematic flow-stepscalculator Qpqs ratio calculator online Use this online tool to determine the magnitude of cardiac shunt. The difference in pulmonary Qp and aortic blood flow Qs is one of the variables used to estimate the size of intracardiac shunts by calculating the QpQs ratio as a.

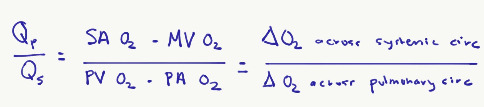
Calculation of blood Flow Qp O2 consumption PV O2 content PA O2 content Qs O2 consumption SA O2 content MV O2 content. Qs systemic oxygen consumption Pulmonary Vein oxygen content - Mixed. Measurement of systemic and pulmonary blood flow and QPQS ratio using.

Qp 19596-82 136 15 10 Qp 68.


Clara Song On Twitter Tweeting Day 2 Neoprep20 Cvandstats Dr Brodsky Derives The Qp Qs Equation From Fick Equation For Us My Personal Fave Https T Co Imfj5jk668 Twitter


Hemodynamics Ii When The Waves Don T Look Right Ppt Download


Calculation Of Intracardiac Shunts By Cardiac Cath And Flamm Formula Youtube


O2fzdkyo9rjzbm


Price Elasticity Of Demand Np Point Price Elasticity Application Problems 1 Given The Following Two Demand Functions P 30 0 5 Q P 30 1 Q A Graph Both The Demand Functions On The Same Homework Study Com


Qp Qs Ratio In Echocardiography Echocardiography


Year 11 Preliminary Economics Full Course Notes Economics Year 11 Hsc Thinkswap


Ppt Asd Calculation Powerpoint Presentation Free Download Id 868715


Fick Shunt Calculation


Qp Qs Calculation Cath 2022 2023 Student Forum


2500 Solved Problems In Fluid Mechanics Hydraulics Pdf


Calculation Of Qp Qs Formula 1 And 2 Can Be Derived From The Download Scientific Diagram


116sh9acvtzehm


Qp Qs Calculator Cardic Shunts


Shunt Detection And Quantification Ppt Download


Bonus Lecture Tricuspid Atresia And Qp Qs Equation 2 2 Youtube


Jessie Holtzman On Twitter We Can Use Qp Qs To Determine The Hemodynamic Significance Of Shunts If Qp Qs Lt 1 Net R L Shunt If Qp Qs 1 0 1 5 Small L R

Iklan Atas Artikel

Iklan Tengah Artikel 1

Iklan Tengah Artikel 2

Iklan Bawah Artikel